|
|
Формулы понижения степени тригонометрических функций sin cos tg
При решении тригонометрических уравнений часто необходимо понизить степень квадрата, куба функции sin cos tg. Иногда нужно понизить степень синуса, косинуса или тангенса даже четвертой степени. В таком случае можно воспользоваться следующими тригонометрическими тождествами, которые понижают степень тригонометрической функции до обычного синуса, косинуса или тангенса:
Формулы понижения степени тригонометрической функции синуса:

- Квадрат синуса угла равен половине разности единицы и косинуса удвоенного угла
- Синус в кубе угла равен четверти разности трех синусов этого угла и синуса утроенного угла
- Синус в четвертой степени угла равен одной восьмой разности трех, четырех косинусов удвоенного угла
и косинуса учетверенного угла
Формулы понижения степени тригонометрической функции косинуса:

- Квадрат косинуса угла равен половине суммы единицы и косинуса удвоенного угла
- Косинус в кубе угла равен четверти суммы трех косинусов этого угла и косинуса утроенного угла
- Косинус в четвертой степени угла равен одной восьмой суммы трех, четырех косинусов удвоенного угла
и косинуса учетверенного угла
Формулы понижения степени тригонометрической функции тангенса:

- Тангенс в квадрате угла равен отношению квадрата синуса к квадрату косинуса, что также можно выразить
как отношение разности единицы и косинуса удвоенного угла к сумме единицы и косинуса удвоенного угла
- Тангенс в кубе угла равен произведению тангенса угла на тангенс в квадрате, что также можно выразить
как произведение тангенса угла на отношение разности единицы и косинуса удвоенного угла к сумме единицы
и косинуса удвоенного угла
- Тангенс в четвертой степени угла равен квадрату отношения разности единицы и косинуса удвоенного угла
к сумме единицы и косинуса удвоенного угла
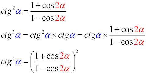
Формулы понижения степени тригонометрической функции котангенса:

- котангенс в квадрате угла альфа равен дроби, в числителе которой единица плюс косинус удвоенного угла альфа,
а в знаменателе — единица минус косинус удвоенного угла альфа
- Котангенс в кубе угла альфа равен произведению котангенса в квадрате угла альфа на котангенс альфа, что равно
котангенс альфа, умноженному на дробь, в числителе которой единица плюс косинус удвоенного угла альфа,
а в знаменателе — единица минус косинус удвоенного угла альфа
- Котангенс в четвертой степени угла альфа равен дроби, в числителе которой единица плюс косинус удвоенного угла альфа,
а в знаменателе — единица минус косинус удвоенного угла альфа, возведенной в квадрат
Преобразования тригонометрических функций вида (α + a/bπ) и доказательство |
Описание курса
| Косинус двойного угла
|