Раздел содержит задачи по геометрии (раздел планиметрия) о трапециях. Если Вы не нашли решения задачи - пишите об этом на форуме. Курс наверняка будет дополнен.  
 
Трапеция. Определение, формулы и свойства
 Трапе́ция (от др.-греч. τραπέζιον — «столик»; τράπεζα — «стол, еда») — четырёхугольник, у которого ровно одна пара противолежащих сторон параллельна.  
  
 Трапеция - четырёхугольник, у которого пара противолежащих сторон параллельна.  
  
 Примечание.  В этом случае параллелограмм является частным случаем трапеции.    
  
 Параллельные противоположные стороны называются основаниями трапеции, а две другие - боковыми сторонами. 
	 Трапеции бывают:
 
	 - разносторонние ;
 
	 - равнобокие;
 
	 - прямоугольные
 
 .   
 Красным и коричневым цветами обозначены боковые стороны, зеленым и синим - основания трапеции. 
  
 A - равнобокая (равнобедренная, равнобочная) трапеция 
 B - прямоугольная трапеция 
 C - разносторонняя трапеция 
  
 У разносторонней трапеции все стороны разной длины, а основания параллельны.
	 У равнобокой трапеции боковые стороны равны, а основания параллельны.
 
	 У прямоугольной трапеции основания параллельны, одна боковая сторона перпендикулярна основаниям, а вторая боковая сторона - наклонная к основаниям.
 
 
Свойства трапеции
	- Средняя линия трапеции параллельна основаниям и равна их полусумме
 
	- Отрезок, соединяющий середины диагоналей, равен половине разности оснований и лежит на средней линии. Его длина 
 
	- Параллельные прямые, пересекающие стороны любого угла трапеции, отсекают от сторон угла пропорциональные отрезки (см. Теорему Фалеса)
 
  
	- Точка пересечения диагоналей трапеции, точка пересечения продолжений её боковых сторон и середины оснований лежат на одной прямой (см. также свойства четырехугольника)
 
  
	- Треугольники, лежащие на основаниях трапеции, вершины которых являются точкой пересечения ее диагоналей являются подобными. Соотношение площадей таких треугольников равно квадрату соотношения оснований трапеции
 
	- Треугольники, лежащие на боковых сторонах трапеции, вершины которых являются точкой пересечения ее диагоналей являются равновеликими (равными по площади)
 
	- В трапецию можно вписать окружность, если сумма длин оснований трапеции равна сумме длин её боковых сторон. Средняя линия в этом случае равна сумме боковых сторон, делённой на 2 (так как средняя линия трапеции равна полусумме оснований)
 
  
	- Отрезок, параллельный основаниям и проходящий через точку пересечения диагоналей, делится последней пополам и равен удвоенному произведению оснований, деленному на их сумму 2ab / (a +b) (Формула Буракова)
 
  
 
Углы трапеции
 Углы трапеции бывают острые, прямые и тупые.  
 Прямыми бывают только два угла.  
  
 У прямоугольной трапеции два угла прямые, а два других – острый и тупой. У других видов трапеций бывают: два острых угла и два тупых.  
  
 Тупые углы трапеции принадлежат меньшему по длине основанию, а острые – большему основанию.
	 Любую трапецию можно рассматривать как усеченный треугольник, у которого линия сечения параллельна основанию треугольника.   
 Важно. Обратите внимание, что таким способом (дополнительным построением трапеции до треугольника) могут решаться некоторые задачи про трапецию и доказываются некоторые теоремы.
 
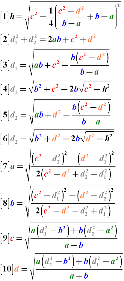
Как найти стороны и диагонали трапеции
	 Нахождение сторон и диагоналей трапеции делают с помощью формул, которые приведены ниже:
 
   
 
	 В указанных формулах применяются обозначения, как на рисунке.
 
	 a - меньшее из оснований трапеции 
	 b - большее из оснований трапеции 
	 c,d - боковые стороны 
	 h1h2 - диагонали 
 
	  
 
	Сумма квадратов диагоналей трапеции равна удвоенному произведению оснований трапеции плюс сумма квадратов боковых сторон (Формула 2)
 
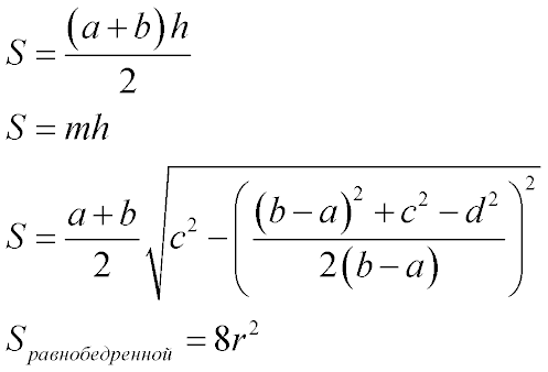
Площадь трапеции  
 
    
 где  
 a и b - параллельные основания трапеции  
 c и d - боковые стороны трапеции  
 m - средняя линия трапеции  
 r - радиус вписанной в трапецию окружности  
 S - площадь трапеции  	
	 
		
	
			 
		
		
			
  
		
		
					 Ромб |
		
		Описание курса
					|  Площадь трапеции     
		
		
	
	 |