| 
			
		 | 
	
		
			
		
		Э́ллипс — геометрическое место точек X Евклидовой плоскости, для которых сумма расстояний от двух данных точек F1 и F2 (называемых фокусами) 
 постоянна, то есть | F1X | + | F2X | = 2a. 
   
 Общепринятые обозначения для формул, описывающих свойства эллипса указаны на рисунке: 
   
  
	- Большая ось эллипса - это отрезок, проходящий через фокусы эллипса, ограниченный самим эллипсом.
 
	 Длина большой оси равна 2a. 
	- Малая ось эллипса - это отрезок, перпендикулярный большой оси эллипса, проходящий через ее центр,  и ограниченный самим эллипсом.
 
	 Длина малой оси равна 2b.  
	- Большая и малая полуоси эллипса (a и b) - это отрезки, проведённые из центра эллипса к вершинам на большой и малой осях.
 
	- Фокальное расстояние (c) - это расстояние от центра эллипса до его фокуса.
 
   
  
	- Эксцентриситет (e) - это соотношение фокального расстояния и большой полуоси эллипса. Он однозначно характеризует величину "деформации"
 
	 эллипса по отношению к окружности и находится в интервале [0, 1). Ближе к нулю - ближе к окружности. 
   
  
	- Коэффициент сжатия эллипса - это отношение длин малой и большой полуосей. Если говорят про сжатие эллипса, то имеют ввиду значение (1-k)
 
   
	 Для окружности коэффициент сжатия равен единице, сжатие — нулю.  
	- Коэффициент сжатия и эксцентриситет эллипса связаны соотношением
 
   
  
	- Диаметром эллипса называется любая хорда, проходящая через его центр. 
 
	 Пару диаметров, обладающих следующим свойством, называют сопряжёнными:  
	 середины всех хорд, параллельных одному из них, расположены на втором диаметре.  
	 Аналогично, середины хорд, параллельных второму диаметру, лежат на первом. 
	- Радиус эллипса в данной точке это отрезок, соединяющий центр эллипса с точкой, а также его длина, которая вычисляется по формуле 
 
   
	  где φ — угол между радиусом и большой полуосью. 
	- Фокальный параметр — это половина длины хорды, которая проходит через фокус эллипса и перпендикулярна его большой оси
 
   
  
 
Каноническое уравнение эллипса
  
 Для любого эллипса можно найти декартову систему координат такую, что эллипс будет описываться уравнением (каноническое уравнение эллипса): 
   
  
 Каноническое уравнение эллипса описывает эллипс с центром в начале координат, оси которого совпадают с осями координат. Для определённости положим, что 0 < b ≤ a.  В этом случае величины a и b — соответственно, большая и малая полуоси эллипса. 
  
 Зная полуоси эллипса можно вычислить его фокальное расстояние и эксцентриситет: 
   
  Координаты фокусов эллипса в этом случае будут (ae;0), и (-ae;0) 
  
 Эллипс имеет две директриссы, уравнения которых можно записать как 
 х = a / ε и  х = - a / ε 
  
 Уравнение диаметра эллипса, сопряжённого хордам с угловым коэффициентом k: 
   
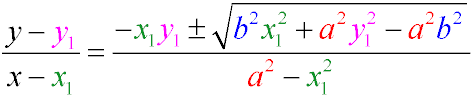
  Уравнение касательных эллипса, проходящих через точку (x1y1) 
   
  Уравнение касательных эллипса, имеющих данный угловой коэффициент k 
   
  Уравнение нормали эллипса в точке (x1y1) 
   
 
Примеры решения задач
 Задача. 
 Найдите эксцентриситет эллипса 
 x2 / 8 + y2 / 6 = 1 
  
 Решение. 
 По формуле нахождения эксцентриситета эллипса (см. выше) 
 ε = √(64 - 36) / 8 
ε = √28 / 8 = 2√7 / 8 = √7 / 4 ≈ 0,66 ≈ 2/3
				
					
			
  
		
		
					 Область определения функции |
		
		Описание курса
					|  Свойства бесконечно малых и бесконечно больших функций     
		
		
		 |