|
Задача
Условие: Маятниковые часы, выверенные при комнатной температуре, уходят за сутки на ∆t = 2 мин вследствие изменения длины маятника, вызванного понижением температуры. Как нужно изменить длину маятника, чтобы часы шли верно?
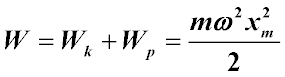
Решение: Из-за понижения температуры длина l1 маятниковых часов, выверенных при комнатной температуре, уменьшается и становится равной l2. Период колебаний таких часов уменьшается, поскольку ускорение a остается неизменным. За сутки – время t1 – эти часы сделают большее число колебаний, чем точные часы, и, следовательно, будут спешить. Согласно формуле полной механической энергии колеблющейся точки:

|
Завдання
Умова: Маятниковий годинник, вивірений при кімнатній температурі, йде за добу на ∆t = 2 хв внаслідок зміни довжини маятника, викликаного зниженням температури. Як потрібно змінити довжину маятника, щоб годинник ішов правильно?
Рішення: Через пониження температури довжина l1 маятникового годинника, вивіреного при кімнатній температурі, зменшується і стає рівною l2. Період коливань такого годинника зменшується, оскільки прискорення a залишається незмінним. За добу - час t1 - цей годинник зробить більше число коливань, ніж точний годинник, і, отже, буде поспішати. Згідно з формулою повної механічної енергії коливної точки:

|