|
Теоретические материалы по теме приведенных задач см. Длительность производственного цикла.
Задача. Определить длительность технологического цикла обработки детали
Определить длительность технологического цикла обработки детали с помощью разных видов передачи предметов труда. Плановая партия – 30 штук. Операции на единицу и количество станков на операции приведены ниже:
|
Вариант
|
Плановая партия
|
Транспортная партия
|
Номер операции
|
Время на единицу
|
Количество станков
|
|
1
|
30
|
5
|
1
|
5
|
1
|
|
|
|
|
2
|
9
|
1
|
|
|
|
|
3
|
18
|
1
|
|
|
|
|
4
|
6
|
2
|
|
|
|
|
5
|
5
|
1
|
|
|
|
|
6
|
3
|
2
|
Решение.
Для того чтобы найти длительность цикла с помощью последовательного способа передачи деталей нужно воспользоваться формулой:

n – количество деталей в обрабатываемой партии шт.
i – операция
m – количество операций в технологическом процессе
Сі – количество станков, на которых осуществляется обработка детали на i-той операции.
ti – штучное время на выполнение i-той операции, минут
t ест - длительность естественных процессов (они у нас отсутствуют и принимаются равным нулю)
Подставим значения в формулу
T ц. посл. = 30*( 5/1 + 9/1 + 18/1 + 6/2 + 5/1 + 3/2 ) = 30*( 5 + 9 + 18 + 3 + 5 + 1,5)=1245 минут
Для того чтобы рассчитать длительность параллельно-последовательного цикла передачи деталей нужно воспользоваться формулой:

T цикла. – суммарное время обработки технологического процесса
р – величина передаточной партии шт.
(t/c) кор. – длительность выполнения наименьшей из двух смежных операций.
Подставим значения в формулы.
τ = (30-5) * (5/1 + 9/1 + 6/2 + 6/2 + 3/2 ) = 25*( 5 + 9 + 3 + 3 + 1,5 ) = 25 * 41,5 = 537,5 мин.
Теперь найдем длительность параллельно-последовательного цикла.
Тцикла= 1245 - 537,5 = 707,5 минут
Задача параллельно последовательного цикла как можно быстрее пропустить через все стадии производства продукты труда при непрерывной работе станков.
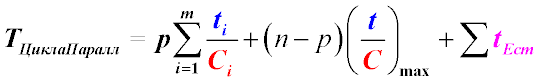
Для того чтобы найти длительность параллельного цикла передачи деталей воспользуемся формулой:

Подставим значения в формулу.
Т ц пар = 5*(5/1+9/1+18/1+6/2+5/1+3/2)+(30-5)*(18/1)=5*(5+9+18+3+5+1,5)+
+25*18=5*41,5+25*18=207,5+450=657,5 минут
Задача параллельного цикла движения деталей как можно быстрее пропустить продукты труда через все стадии производства.
Мы можем найти коэффициент параллельности с помощью формулы:

Т ц пар – длительность цикла параллельным способом движения деталей
Т ц посл. – длительность цикла последовательным способом движения деталей.
Подставим значения в формулу.
К пар = 657,5/1245=0,528
Ответ: T ц. посл. =1245 мин. , Тц п-п=707,5 мин. , Т ц пар =657,5 мин.
Задача. Определить изменение длительности цикла обработки деталей
Партия деталей состоит из 10 деталей, которые обрабатываются при параллельно последовательном виде движения. Технологический процесс обработки деталей состоит с 6 операций t1 = 2, t2 = 9, t3 = 6, t4 = 2, t5 = 3, t6= 4 мин. Есть возможность объединить пятую и шестую операции в одну без изменения длительности каждой. Размер транспортной партии равняется 1. Определить, как изменится длительность технологического цикла обработки деталей.
Решение
Для того чтобы найти время параллельно последовательного цикла движения деталей используем формулу:

Подставим значения в формулу.
Тц п-п=10*(2+9+6+2+3+4)-(10-1)*(2+6+2+2+3)=10*26-9*15=260-135=125мин.
Тц п-п=10*(2+9+6+2+7)-(10-1)*(2+6+2+2)=10*26-9*12=260-108=152 мин.
Найдем разницу между циклами движения.
∆ Тц п-п=152-125=27 мин.
Ответ: Длительность параллельно-последовательного цикла при совмещении двух операций (пятая и шестая) увеличилась на 27 минут.
Товарная продукция |
Описание курса
| Ресурсный потенциал предприятия
|