. Аннуитет - термин, обозначающий способ погашения задолженности, которая выплачивается с процентами, когда размер выплаты за каждый период составляет одинаковую сумму. То есть долг погашается равными суммами через равные промежутки времени. Этот способ позволяет должнику получить равномерную кредитную нагрузку, в отличие от классического способа погашения, когда равными частями погашается долг, а проценты прибавляются и сумме долга. В последнем случае кредитная нагрузка сначала очень высокая, а потом снижается.
Сумма каждого аннуитетного платежа состоит из суммы погашения части основной задолженности и процентов по кредиту. Но, с течением времени, доля основного платежа растет, а процентов - уменьшается. Таким образом,
общая сумма остается неизменной. Такая ситуация удобна для заемщика, но если возникают проблемы с обслуживанием кредита, то заемщик с удивлением узнает, что его задолженность банку уменьшилась весьма незначительно, так как основная сумма платежа по
аннуитету уходила на выплату процентов.
На практике часто аннуитетом называют вид кредитования с использованием
аннуитетных платежей. В результате может возникать терминологическая путаница.
То есть может подразумеваться:
- финансовый инструмент
- банковский продукт (правила кредитования)
- сумма периодического платежа
- способ погашения задолженности
- способ выплаты страхового вознаграждения по пенсионному страхованию
Формула аннуитетного платежа
Размер ежемесячного (или за любой другой период) аннуитета можно определить по формуле:

, где
A - размер аннуитетного платежа
S - сумма задолженности, подлежащая погашению
K - коэффициент аннуитета, превращающий сумму задолженности в размер регулярного платежа
n - количество лет, в течение которых выплачивается задолженность по кредиту
m - количество раз в год, когда выплачивается регулярный платеж
k - количество периодов во время выплат процентов, то есть произведение n*m
i - годовая процентная ставка
Обратите внимание, что формула 2 может применяться, когда проценты выплачиваются один раз в год. Формулы же 3 и 4 предполагают, что проценты выплачиваются m раз в год в течение n лет, что составляет m * n периодов.
Будущие доходы от аннуитетного платежа
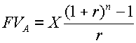
Аннуитетные платежи также может использоваться для накопления некоторой суммы на депозитном счете к определенному моменту. В этом случае можно определить размер необходимых платежей.

, где
FV - будущая стоимость аннуитетных платежей
X - величина аннуитетного платежа
r - процентная ставка
n - количество периодов
При применении формулы необходимо учесть, что она предполагает начисление сложных процентов.